新闻网讯 近期,Military Medical Research发表公卫学院刘刚教授的联合研究成果“Risk factor control in relation to mortality and life expectancy among people with type 2 diabetes: results from 3 nationwide cohort studies”。该研究基于中国全国代表性人群以及英国和美国的3个全国性队列,发现“多病因共防”能够显著延长2型糖尿病患者的预期寿命6~9年,但不同患者的获益存在差异。另外,相较于临床代谢指标控制,生活方式因素的达标管理对糖尿病患者预期寿命的贡献更大。研究表明,传统“一刀切”的防控策略忽略了糖尿病患者的个体差异,需要结合不同表型制定差异化方案,同时重视生活方式管理,才能实现更加精准和高效的糖尿病防控。

2型糖尿病已成为全球重大公共卫生挑战。糖尿病不仅显著增加心血管疾病等并发症的风险,而且会影响患者的预期寿命。研究团队前期基于具有全国代表性的13.5万名中国城乡居民发现,与血糖正常人群相比,糖尿病患者的心血管病死亡风险会显著增加59%,预期寿命平均缩短4.2年(Diabetes Care2024,共同通讯)。然而,糖尿病患者中血糖、血脂、血压以及生活方式等“多病因共防”,其预期寿命可以增加多少?不同患者的健康获益是否存在差异?另外,目前糖尿病管理中更加侧重通过药物控制血糖、血脂、血压等代谢因素达标,而生活方式因素管理相对不足,二者的健康获益有何不同?目前,相关代表性人群的研究证据缺乏。
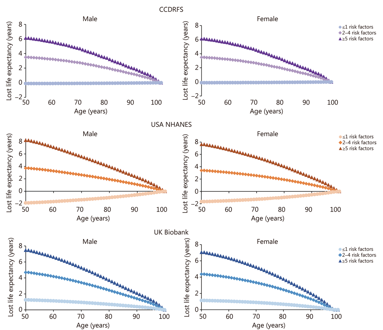
基于此,研究团队基于中国全国代表性人群(CCDRFS)以及美国国家健康与营养调查(NHANES)和英国生物银行(UK Biobank),共纳入46351名2型糖尿病患者,并利用倾向性评分匹配了91645名非糖尿病对照。研究全面比较并系统分析了不同国家糖尿病患者中常见6种危险因素(血糖、血压、血脂、吸烟、饮食、体力活动)的控制达标情况及其与预期寿命之间的关系。研究主要发现:在这三个全国性队列中,仅少数糖尿病患者能有5个及以上危险因素控制同时达标,中国为16.0%,美国为9.9%,英国为6.8%。在50岁时,5个及以上危险因素均控制达标的糖尿病患者比仅有0~1个危险因素控制达标患者的预期寿命延长6~9年,且与一般人群的预期寿命相当。另外,人群归因分数分析发现,如果5个及以上危险因素控制同时达标,可以减少糖尿病患者50.2~60.0%的死亡。相较于代谢因素达标但生活方式因素不达标的糖尿病患者,代谢因素不达标但生活方式因素达标的糖尿病患者的预期寿命延长1.5~3.4年。在单个因素管理中,体力活动、不吸烟以及血糖控制对预期寿命增加的贡献最突出,且这一结果在三个队列中保持一致。“多病因共防”的健康获益在糖尿病患者的不同亚组中存在差异。糖尿病高危人群中(如诊断年龄早等),多危险因素控制达标的预期寿命增加更多。

图1.糖尿病患者危险因素控制未达标情况对应的预期寿命损失(与非糖尿病组比较)
上述研究表明,“多病因共防”可显著提高2型糖尿病患者的预期寿命,但在不同亚组存在异质性。如何精准分型是实现糖尿病精准防控的基石。鉴于此,研究团队基于中国全国代表性人群(CCDRFS),利用新的机器学习算法(DDRTree)识别出具有不同特征的2型糖尿病亚型并预测其死亡风险存在显著差异,且进一步开发了一款在线风险评估工具(CellReports Medicine2025,最后通讯)。系列研究成果为糖尿病的精准防控提供了新思路。
公卫学院博士生邱子馨为第一作者,刘刚为通讯作者,我校黄恺教授、中国疾病预防控制中心周脉耕研究员为共同通讯作者。
论文链接
https://link.springer.com/article/10.1186/s40779-025-00674-4