新闻网讯 近日,医管院刘智勇教授团队在npj Digital Medicine(中科院医学一区Top,影响因子15.1)发表了应用机器学习对多国老年人群队列抑郁症状风险预测模型的最新研究成果,文章标题为“Determinants of depressive symptoms in multinational middle-aged and older adults”。医管院硕士研究生鲁灿和中国人民大学农业与农村发展学院博士生万深玮为共同第一作者,刘智勇为通讯作者。


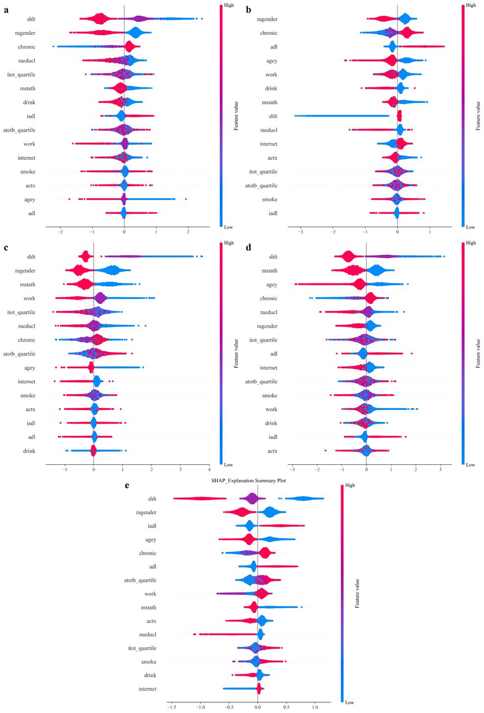
该研究基于多国队列数据库采用机器学习算法预测抑郁症状风险,分层分析强调收入和性别导致的抑郁症状的异质性,采用六种集成学习算法以及SHAP方法构建了一个可解释的、跨国的老年人抑郁症状预测模型。研究结果为推进全球老年人精神健康议题提供了多维度的实践依据,强调在预测模型中整合社会经济、行为和健康因素的重要性,为全球公平的抑郁症预防策略提供有益信息和知识。
npj Digital Medicine是由国际著名出版商施普林格自然出版社出版的自然旗下高质量期刊,致力于刊发数字医学与健康领域高质量研究。该期刊位列JCR1区,中科院1区TOP,2024年影响因子为15.1,五年影响因子为17.0。